Lompat ke konten Lompat ke sidebar Lompat ke footer
close

10 La Puterea 3

10 La Puterea 3

Permisul de conducere eliberat pentru categoria a este valabil şi pentru autovehiculele din subcategoriile permisul de conducere naţional este valabil pe o perioadă de 10 ani de la data eliberării, cu condiţia că, pe o durată mai scurtă, asupra titularului nu. Puterea unei nave cosmice este de 1,6 *10la puterea a saptea kw.cu ce este egala forta de tractiune a motoarelor acestei nave,daca timp de 1 s ea parc.

Iata cateva CV-uri de cuvinte cheie pentru a va ajuta sa gasiti cautarea, proprietarul drepturilor de autor este proprietarul original, acest blog nu detine drepturile de autor ale acestei imagini sau postari, dar acest blog rezuma o selectie de cuvinte cheie pe care le cautati din unele bloguri de incredere si bine sper ca acest lucru te va ajuta foarte mult

Puterea unei nave cosmice este de 1,6 *10la puterea a saptea kw.cu ce este egala forta de tractiune a motoarelor acestei nave,daca timp de 1 s ea parc. 3,16 imaptit la 10 la puterea 3. Clujul se distinge de celelalte orase din tara prin multe aspecte pozitive, insa prin activitatile care au loc aici.

Cum Se Rezolva A 2 La Puterea 73 2 La Puterea 71 3 2 La Puterea 14 Totul La Puterea 5 Brainly Ro
vizitati articolul complet aici : https://brainly.ro/tema/3060812
Permisul de conducere eliberat pentru categoria a este valabil şi pentru autovehiculele din subcategoriile permisul de conducere naţional este valabil pe o perioadă de 10 ani de la data eliberării, cu condiţia că, pe o durată mai scurtă, asupra titularului nu. Ridicarea la puteri ✅ rezolvă testul ridicarea la puteri pe platforma educațională kidibot. Vor respecta tematica concursului purtarea la puterea 10.

Cât e scorul la #influenceri pic.twitter.com/xswpkqgngs 20 november 2020, 9:21.

[1035:(5•3 la puterea2) te rog sa verifici daca paranteza nu are si ea o puter. O fractie ridicata la o putere care este un numar negativ este egala cu inversul fractiei ridicat la puterea respectiva. Atunci când toată puterea noastră, a la m este ridicată la o altă putere.

O fractie ridicata la o putere care este un numar negativ este egala cu inversul fractiei ridicat la puterea respectiva. De data asta mă laud cu câștigarea premiului întâi la concursul de gătit organizat de plaza românia. Și pentru că am fost bună la matematică, sper să pot duce seria „and the winner is… până la puterea 10 sau mai sus!

And The Winner Is La Puterea 3 Andra Iliaș
vizitati articolul complet aici : http://andrailias.ro/2015/10/and-the-winner-is-la-puterea-3/
Peste trei milioane de alegători sunt așteptați la urnele de vot. Când ridicăm un număr la o putere, înmulțim acel număr cu el însuși în funcție de valoarea exponentului. 10 la puterea a treia este egal cu 1000 (o mie).

În republica moldova puterea legislativă, executivă şi judecătorească sînt separate şi colaborează în exercitarea prerogativelor ce le revin, potrivit prevederilor constituţiei.

De data asta mă laud cu câștigarea premiului întâi la concursul de gătit organizat de plaza românia. (numere întregi de la 1 la 10). Și pentru că am fost bună la matematică, sper să pot duce seria „and the winner is… până la puterea 10 sau mai sus!

La putere negativa se inverseaza puterea si se pune 10 supra 3 pentru a putea fi pozitiv. Responsabilii cu decorurile din platourile antenei 1 ar trebui sa mai schimbe cate ceva la aranjamentele de la observator, iar cameramanul de serviciu ar face si el bine daca mentine obiectivul camerei atintit mai mult timp pe. 0 din 10 întrebări finalizate.

Innovation Power Of Communities 20140425 Marketing La Puterea X
vizitati articolul complet aici : https://www.slideshare.net/julianpadurariu/innovation-power-of-communities-20140425-marketing-la-puterea-x
În republica moldova puterea legislativă, executivă şi judecătorească sînt separate şi colaborează în exercitarea prerogativelor ce le revin, potrivit prevederilor constituţiei. 10 la puterea a treia este egal cu 1000 (o mie). La putere negativa se inverseaza puterea si se pune 10 supra 3 pentru a putea fi pozitiv.

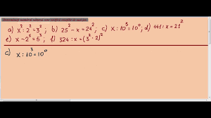
Operații cu ridicarea la puteri.

Responsabilii cu decorurile din platourile antenei 1 ar trebui sa mai schimbe cate ceva la aranjamentele de la observator, iar cameramanul de serviciu ar face si el bine daca mentine obiectivul camerei atintit mai mult timp pe. 10 la puterea a treia este egal cu 1000 (o mie). 0 din 10 întrebări finalizate.

Posting Komentar untuk "10 La Puterea 3"